Comp Loc Amp Response (RESP) Impulse Response (RESP) Amp Response (PoleZero) Impulse Response (PoleZero)

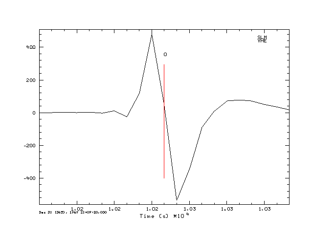
2011,262,21:06:21.0000 to 2015,254,16:00:00.0000 Peak Sensitivity 4.9928e+08 Counts/METER/S at 0.03 Hz

VHE 00

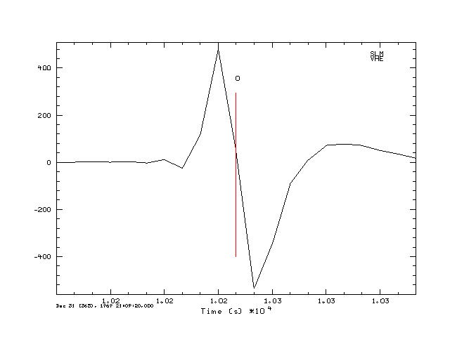
2015,254,16:00:00.0000 to 2599,365,23:59:59 Peak Sensitivity 4.9928e+08 Counts/METER/S at 0.03 Hz

VHE 00