Comp Loc Amp Response (RESP) Impulse Response (RESP) Amp Response (PoleZero) Impulse Response (PoleZero)

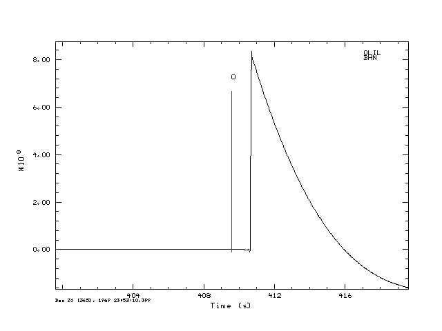
2005,063,00:00:00.0000 to 2015,134,16:50:38.0000 Peak Sensitivity 8.4472e+08 Counts/METER/S at 7.31 Hz

BHN

2015,134,16:50:38.0000 to 2599,365,23:59:59 Peak Sensitivity 8.4487e+08 Counts/METER/S at 7.30 Hz

BHN