Comp Loc Amp Response (RESP) Impulse Response (RESP) Amp Response (PoleZero) Impulse Response (PoleZero)

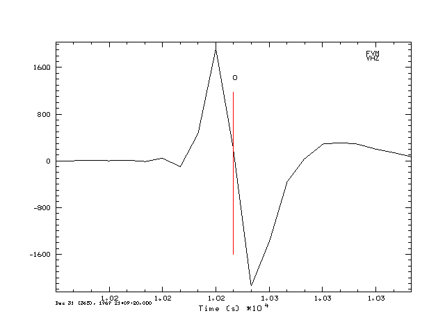
2011,091,00:00:00.0000 to 2017,030,19:00:00.0000 Peak Sensitivity 1.9955e+09 Counts/METER/S at 0.03 Hz

VHZ

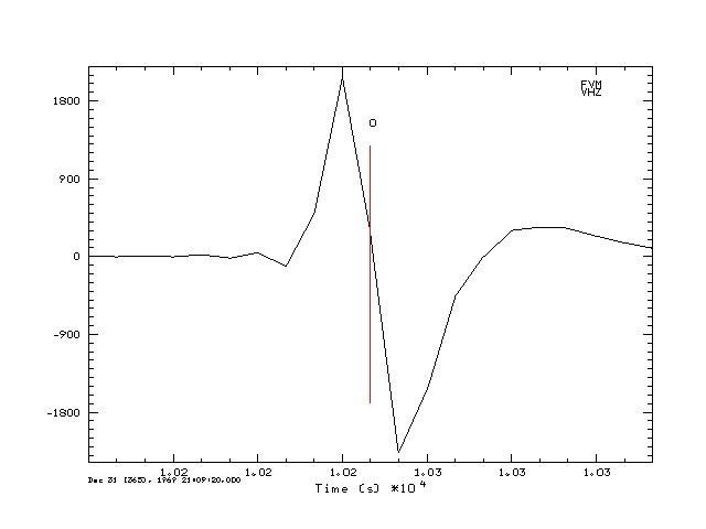
2017,030,19:00:00.0000 to 2599,365,23:59:59 Peak Sensitivity 2.0124e+09 Counts/METER/S at 0.03 Hz

VHZ